Example C4: Nonlinear Normal Modes of a 2DoF Hysteretic Oscillator using the Extended Periodic Motion Concept
Nonlinear normal modes is a very succinct methodology for describing the dynamics of nonlinear systems. It leads to descriptions of the dynamics in terms of amplitude-dependent natural frequency, daming factor, and mode-shapes for each mode. The Extended Periodic Motion Concept is a very popular methodology for capturing these numerically. The idea here is simple - it iteratively looks for what would be a linear self excitation (in terms of a negative viscous factor) that must be supplied to a system so that it has a periodic solution as an invariant set in its unforced state.
Mathematically the system we will be solving is:
\[\mx{M} \ddot{\vc{u}} + \mx{C} \dot{\vc{u}} + \mx{K} \vc{u} + \vc{f_{nl}} = \xi \mx{M} \dot{\vc{u}}\]
where $\xi$ controls the strength of the self-excitation. Since the system is always solved by the trivial solution, an amplitude constraint is often imposed. In order to simplify calculations later on, the first harmonic amplitude of the degrees of freedom is constrained as:
\[\vc{U}_{c1}^T \mx{M} \vc{U}_{c1} + \vc{U}_{s1}^T \mx{M} \vc{U}_{s1} = a^2\]
where $\vc{U}_{c1} = \frac{\Omega}{\pi} \int_0^{2\pi/\Omega} \vc{u} \cos\Omega t dt$ and $\vc{U}_{s1} = \frac{\Omega}{\pi} \int_0^{2\pi/\Omega} \vc{u} \sin\Omega t dt$. (a) is the user-specified amplitude, which serves as the continuation parameter in this context. In addition to this, there is still a phase indeterminacy present in the system. So we choose an arbitrary DoF (which is expected to be non-zero in the mode under consideration), and set its cosine harmonic to be zero (other constraints are also possible). With this, we will have a square system (same number of unknowns as equations) and it can be solved to obtain the amplitude-dependent nonlinear modal characteristics of the system.
The EPMCRESFUN! routine in MDOFUTILS implements the residue function for EPMC that can be used in tandem with CONTINUATION to obtain nonlinear modal characteristics. This example will illustrate this on the frictional 2DoF oscillator under consideration in Examples C2 and C3. The steps followed are:
- First the system is setup (along with the nonlinearity, see descriptions in Example C2.
- Next we conduct linear modal analysis on the linearized system. This is important to set the initial guess for the EPMC run next.
- Now we setup the Harmonic Balance parameters and then test out the EPMC residue routine using the linearized modes estimated above.
- Finally we conduct the contuation over the modal amplitude (a) and then visualize the results.
Preamble: Load Packages
using GLMakie
using LinearAlgebra
using SparseArrays
using ForwardDiff
using NonlinearSolve
using DSP
using juliajim.HARMONIC
using juliajim.CONTINUATION
using juliajim.MDOFUTILSSystem Setup
MCK matrices and nonlinearity setup: identical to Example C2.
M = collect(1.0I(2));
K = [2. -1.;-1. 2.];
C = 0.01*M+0.001*K;
mdl = MDOFGEN(M, C, K);
# Nonlinearity
kt = 1.0;
fs = 1.0;
fnl = (t,u,up,fp)-> if all(abs.(fp+kt*(u-up)).<fs)
return fp+kt*(u-up), kt*ones(size(u)), -kt*ones(size(u)), ones(size(u)); else
return fs*sign.(fp+kt*(u-up)), zeros(size(u)), zeros(size(u)), zeros(size(u));
end
L = [0.0 1.0];
mdl = ADDNL(mdl, :Hyst, fnl, L);Linear Modal Analysis
Remember that in the limit of small amplitude, the Jenkins element acts like a linear spring. So we add this additional stiffness to the linearized stiffness matrix and conduct the modal analysis (eigen decomposition). The mode shapes, natural frequencies, and damping are saved since these will be used next as the initial guess for EPMC.
Knl0 = L'kt*L;
K0 = mdl.K+Knl0;
D, V = eigen(K0, mdl.M)
W0s = sqrt.(D);
Xis = diag(V'mdl.C*V)
mi = 1; # Mode of interestSetup HB
Setting up parameters for Harmonic Balance: identical to Example C2.
h = 0:5;
N = 256;
t = (0:N-1)*2π/N;
Nhc = sum(all(h.==0, dims=2) + 2any(h.!=0, dims=2));
_, _, zinds, rinds, iinds = HINDS(mdl.Ndofs, h)
Fl = zeros(Nhc*mdl.Ndofs);
Fl[rinds[1]] = 1.0;
E, dEdw = HARMONICSTIFFNESS(mdl.M, mdl.C, mdl.K, W0s[mi], h);
U0 = zeros(mdl.Ndofs*Nhc);
U0[iinds[1:mdl.Ndofs]] = V[:, mi];Test EPMC Residue
The ordering of unknowns that will be sent to the EPMCRESFUN! routine is (\begin{bmatrix} \vc{u}^T&\omega&\xi&\log_{10}(a) \end{bmatrix}^T), where the last parameter is the log of the amplitude (base 10). The log-scaling is done on the amplitude to help with numerical conditioning issues.
In the following we setup everything and test it to ensure that the residue can be used to converge to the solution.
R = zeros(mdl.Ndofs*Nhc+2);
dRdU = zeros(mdl.Ndofs*Nhc+2, mdl.Ndofs*Nhc+2);
dRda = zeros(mdl.Ndofs*Nhc+2);
EPMCRESFUN!([U0; W0s[mi]; Xis[mi]; -2], mdl, Fl, h, N; R=R, dRdUwx=dRdU, dRda=dRda)
A0 = -2.0;
U0 = zeros(mdl.Ndofs*Nhc);
U0[iinds[1:mdl.Ndofs]] = V[:, mi];
fun = NonlinearFunction((r,uwx,p)->EPMCRESFUN!([uwx;p], mdl, Fl, h, N; R=r),
jac=(J,uwx,p)->EPMCRESFUN!([uwx;p], mdl, Fl, h, N; dRdUwx=J),
paramjac=(Jp,uwx,p)->EPMCRESFUN!([uwx;p], mdl, Fl, h, N; dRda=Jp));
prob = NonlinearProblem(fun, [U0;W0s[mi];Xis[mi]], A0);
sol = solve(prob, show_trace=Val(true), maxiters=100);
Algorithm: NewtonRaphson(
descent = NewtonDescent(),
autodiff = AutoForwardDiff(),
vjp_autodiff = AutoFiniteDiff(
fdtype = Val{:forward}(),
fdjtype = Val{:forward}(),
fdhtype = Val{:hcentral}(),
dir = true
),
jvp_autodiff = AutoForwardDiff(),
concrete_jac = Val{false}()
)
---- ------------- -----------
Iter f(u) inf-norm Step 2-norm
---- ------------- -----------
0 4.47213595e-06 NaN
1 7.63931298e-08 2.76393076e-04
2 1.33226763e-15 3.81965696e-08
Final 1.33226763e-15
----------------------Continuation
Now we are ready to conduct continuation to obtain the amplitude dependent resonance backbone for the system. The invocation of CONTINUATE is exactly as encountered in the earlier examples.
A0 = -1.;
A1 = 3.;
da = 0.05;
cpars = (nmax=1000, Dsc=:auto, angopt=deg2rad(30));
sols, its, dss, xis, Dsc = CONTINUATE([U0;W0s[mi];Xis[mi]], fun, [A0, A1], da; cpars...);
uh = zeros(Complex, maximum(h)+1, length(sols), 2);
for i in 1:2
uh[h.+1, :, i] = hcat([[s.up[zinds[i:2:end]];
s.up[rinds[i:2:end]]+1im*s.up[iinds[i:2:end]]]
for s in sols]...);
end
Oms = [s.up[end-2] for s in sols];
Zts = [s.up[end-1] for s in sols]./2Oms;
As = [10^s.up[end] for s in sols];
Algorithm: NewtonRaphson(
descent = NewtonDescent(),
autodiff = AutoForwardDiff(),
vjp_autodiff = AutoFiniteDiff(
fdtype = Val{:forward}(),
fdjtype = Val{:forward}(),
fdhtype = Val{:hcentral}(),
dir = true
),
jvp_autodiff = AutoForwardDiff(),
concrete_jac = Val{false}()
)
---- ------------- -----------
Iter f(u) inf-norm Step 2-norm
---- ------------- -----------
0 4.47213595e-05 0.00000000e+00
1 7.63931298e-08 2.76393076e-04
Final 7.63931298e-08
----------------------
2. -0.95 with step 0.0500 (0.0500) converged in 1 iterations. 19.106334 Δα.
3. -0.91 with step 0.0366 (0.0375) converged in 1 iterations. 25.371544 Δα.
4. -0.89 with step 0.0265 (0.0281) converged in 1 iterations. 3.942536 Δα.
5. -0.87 with step 0.0193 (0.0211) converged in 1 iterations. 43.711935 Δα.
6. -0.85 with step 0.0141 (0.0158) converged in 1 iterations. 58.218871 Δα.
7. -0.84 with step 0.0103 (0.0119) converged in 1 iterations. 8.686789 Δα.
8. -0.83 with step 0.0086 (0.0100) converged in 1 iterations. 0.259320 Δα.
9. -0.82 with step 0.0102 (0.0121) converged in 1 iterations. 6.607028 Δα.
10. -0.82 with step 0.0084 (0.0100) converged in 1 iterations. 2.650001 Δα.
11. -0.81 with step 0.0083 (0.0100) converged in 1 iterations. 94.079119 Δα.
12. -0.80 with step 0.0082 (0.0100) converged in 1 iterations. 10.988335 Δα.
13. -0.79 with step 0.0081 (0.0100) converged in 1 iterations. 12.520995 Δα.
14. -0.78 with step 0.0080 (0.0100) converged in 1 iterations. 13.607207 Δα.
15. -0.78 with step 0.0079 (0.0100) converged in 1 iterations. 15.498001 Δα.
16. -0.77 with step 0.0078 (0.0100) converged in 1 iterations. 94.608058 Δα.
17. -0.76 with step 0.0078 (0.0100) converged in 1 iterations. 0.000000 Δα.
18. -0.75 with step 0.0115 (0.0150) converged in 1 iterations. 0.000000 Δα.
19. -0.73 with step 0.0171 (0.0225) converged in 1 iterations. 0.000000 Δα.
20. -0.71 with step 0.0251 (0.0338) converged in 1 iterations. 26.497499 Δα.
21. -0.69 with step 0.0184 (0.0253) converged in 1 iterations. 4.698981 Δα.
22. -0.67 with step 0.0134 (0.0190) converged in 1 iterations. 50.101460 Δα.
23. -0.66 with step 0.0098 (0.0142) converged in 1 iterations. 2.779557 Δα.
24. -0.66 with step 0.0072 (0.0107) converged in 1 iterations. 0.466835 Δα.
25. -0.65 with step 0.0073 (0.0110) converged in 1 iterations. 84.690288 Δα.
26. -0.64 with step 0.0066 (0.0100) converged in 1 iterations. 94.135121 Δα.
27. -0.64 with step 0.0065 (0.0100) converged in 1 iterations. 0.000000 Δα.
28. -0.63 with step 0.0097 (0.0150) converged in 1 iterations. 0.000000 Δα.
29. -0.61 with step 0.0143 (0.0225) converged in 1 iterations. 0.000000 Δα.
30. -0.59 with step 0.0211 (0.0338) converged in 1 iterations. 0.000000 Δα.
31. -0.56 with step 0.0308 (0.0506) converged in 1 iterations. 4.564318 Δα.
32. -0.54 with step 0.0222 (0.0380) converged in 1 iterations. 0.000000 Δα.
33. -0.51 with step 0.0320 (0.0570) converged in 1 iterations. 4.808186 Δα.
34. -0.48 with step 0.0228 (0.0427) converged in 1 iterations. 0.000000 Δα.
35. -0.45 with step 0.0326 (0.0641) converged in 1 iterations. 0.000000 Δα.
36. -0.41 with step 0.0461 (0.0961) converged in 1 iterations. 2.213660 Δα.
37. -0.37 with step 0.0318 (0.0721) converged in 1 iterations. 0.000000 Δα.
38. -0.33 with step 0.0439 (0.1081) converged in 1 iterations. 8.090315 Δα.
39. -0.30 with step 0.0297 (0.0811) converged in 1 iterations. 11.933280 Δα.
40. -0.28 with step 0.0202 (0.0608) converged in 1 iterations. 0.728620 Δα.
41. -0.26 with step 0.0171 (0.0562) converged in 1 iterations. 16.483485 Δα.
42. -0.25 with step 0.0119 (0.0421) converged in 1 iterations. 22.481624 Δα.
43. -0.24 with step 0.0084 (0.0316) converged in 1 iterations. 3.519582 Δα.
44. -0.24 with step 0.0060 (0.0237) converged in 1 iterations. 2.231908 Δα.
45. -0.23 with step 0.0044 (0.0178) converged in 1 iterations. 10.935623 Δα.
46. -0.23 with step 0.0032 (0.0133) converged in 1 iterations. 0.000000 Δα.
47. -0.22 with step 0.0047 (0.0200) converged in 1 iterations. 8.644623 Δα.
48. -0.22 with step 0.0034 (0.0150) converged in 1 iterations. 0.000000 Δα.
49. -0.22 with step 0.0051 (0.0225) converged in 1 iterations. 6.637659 Δα.
50. -0.21 with step 0.0037 (0.0169) converged in 1 iterations. 15.765170 Δα.
51. -0.21 with step 0.0027 (0.0127) converged in 1 iterations. 0.000000 Δα.
52. -0.21 with step 0.0040 (0.0190) converged in 1 iterations. 12.972662 Δα.
53. -0.20 with step 0.0030 (0.0142) converged in 1 iterations. 0.000000 Δα.
54. -0.20 with step 0.0044 (0.0214) converged in 1 iterations. 44.480520 Δα.
55. -0.19 with step 0.0032 (0.0160) converged in 1 iterations. 2.994786 Δα.
56. -0.19 with step 0.0024 (0.0120) converged in 1 iterations. 8.048280 Δα.
57. -0.19 with step 0.0020 (0.0100) converged in 1 iterations. 18.036131 Δα.
58. -0.19 with step 0.0019 (0.0100) converged in 1 iterations. 18.849739 Δα.
59. -0.19 with step 0.0019 (0.0100) converged in 1 iterations. 19.621421 Δα.
60. -0.18 with step 0.0019 (0.0100) converged in 1 iterations. 20.120851 Δα.
61. -0.18 with step 0.0019 (0.0100) converged in 1 iterations. 20.767501 Δα.
62. -0.18 with step 0.0018 (0.0100) converged in 1 iterations. 21.373011 Δα.
63. -0.18 with step 0.0018 (0.0100) converged in 1 iterations. 22.076420 Δα.
64. -0.18 with step 0.0018 (0.0100) converged in 1 iterations. 22.724488 Δα.
65. -0.18 with step 0.0018 (0.0100) converged in 1 iterations. 23.226697 Δα.
66. -0.17 with step 0.0018 (0.0100) converged in 1 iterations. 23.937969 Δα.
67. -0.17 with step 0.0018 (0.0100) converged in 1 iterations. 24.456180 Δα.
68. -0.17 with step 0.0017 (0.0100) converged in 1 iterations. 25.012873 Δα.
69. -0.17 with step 0.0017 (0.0100) converged in 1 iterations. 95.179038 Δα.
70. -0.17 with step 0.0017 (0.0100) converged in 1 iterations. 95.237720 Δα.
71. -0.17 with step 0.0017 (0.0100) converged in 1 iterations. 0.000000 Δα.
72. -0.16 with step 0.0025 (0.0150) converged in 1 iterations. 0.000000 Δα.
73. -0.16 with step 0.0037 (0.0225) converged in 1 iterations. 0.000000 Δα.
74. -0.15 with step 0.0055 (0.0338) converged in 1 iterations. 0.000000 Δα.
75. -0.15 with step 0.0080 (0.0506) converged in 1 iterations. 18.752079 Δα.
76. -0.14 with step 0.0058 (0.0380) converged in 1 iterations. 3.351260 Δα.
77. -0.14 with step 0.0041 (0.0285) converged in 1 iterations. 1.027484 Δα.
78. -0.13 with step 0.0034 (0.0244) converged in 1 iterations. 2.524004 Δα.
79. -0.13 with step 0.0025 (0.0183) converged in 1 iterations. 10.763983 Δα.
80. -0.13 with step 0.0018 (0.0137) converged in 1 iterations. 0.000000 Δα.
81. -0.13 with step 0.0027 (0.0206) converged in 1 iterations. 8.431895 Δα.
82. -0.12 with step 0.0020 (0.0154) converged in 1 iterations. 0.000000 Δα.
83. -0.12 with step 0.0029 (0.0232) converged in 1 iterations. 6.218238 Δα.
84. -0.12 with step 0.0021 (0.0174) converged in 1 iterations. 15.014825 Δα.
85. -0.12 with step 0.0016 (0.0130) converged in 1 iterations. 0.000000 Δα.
86. -0.11 with step 0.0023 (0.0195) converged in 1 iterations. 12.157691 Δα.
87. -0.11 with step 0.0017 (0.0147) converged in 1 iterations. 0.000000 Δα.
88. -0.11 with step 0.0025 (0.0220) converged in 1 iterations. 9.569287 Δα.
89. -0.11 with step 0.0019 (0.0165) converged in 1 iterations. 0.000000 Δα.
90. -0.11 with step 0.0027 (0.0247) converged in 1 iterations. 7.428921 Δα.
91. -0.10 with step 0.0020 (0.0186) converged in 1 iterations. 0.000000 Δα.
92. -0.10 with step 0.0029 (0.0278) converged in 1 iterations. 5.662433 Δα.
93. -0.10 with step 0.0022 (0.0209) converged in 1 iterations. 45.672674 Δα.
94. -0.10 with step 0.0016 (0.0157) converged in 1 iterations. 0.000000 Δα.
95. -0.09 with step 0.0023 (0.0235) converged in 1 iterations. 0.000000 Δα.
96. -0.09 with step 0.0034 (0.0352) converged in 1 iterations. 0.000000 Δα.
97. -0.09 with step 0.0050 (0.0528) converged in 1 iterations. 18.372960 Δα.
98. -0.08 with step 0.0036 (0.0396) converged in 1 iterations. 6.405386 Δα.
99. -0.08 with step 0.0026 (0.0297) converged in 1 iterations. 0.000000 Δα.
100. -0.08 with step 0.0037 (0.0446) converged in 1 iterations. 5.564729 Δα.
101. -0.07 with step 0.0027 (0.0334) converged in 1 iterations. 0.000000 Δα.
102. -0.07 with step 0.0038 (0.0501) converged in 1 iterations. 4.774401 Δα.
103. -0.07 with step 0.0028 (0.0376) converged in 1 iterations. 0.000000 Δα.
104. -0.06 with step 0.0040 (0.0564) converged in 1 iterations. 4.181333 Δα.
105. -0.06 with step 0.0028 (0.0423) converged in 1 iterations. 22.513277 Δα.
106. -0.06 with step 0.0020 (0.0317) converged in 1 iterations. 29.950842 Δα.
107. -0.06 with step 0.0014 (0.0238) converged in 1 iterations. 0.000000 Δα.
108. -0.05 with step 0.0021 (0.0357) converged in 1 iterations. 0.000000 Δα.
109. -0.05 with step 0.0030 (0.0535) converged in 1 iterations. 0.000000 Δα.
110. -0.05 with step 0.0044 (0.0803) converged in 1 iterations. 0.000000 Δα.
111. -0.04 with step 0.0061 (0.1205) converged in 1 iterations. 0.000000 Δα.
112. -0.03 with step 0.0083 (0.1807) converged in 1 iterations. 1.329891 Δα.
113. -0.03 with step 0.0057 (0.1471) converged in 1 iterations. 0.000000 Δα.
114. -0.02 with step 0.0072 (0.2206) converged in 1 iterations. 0.000000 Δα.
115. -0.01 with step 0.0064 (0.2500) converged in 1 iterations. 0.000000 Δα.
116. -0.01 with step 0.0047 (0.2500) converged in 1 iterations. 0.000000 Δα.
117. -0.01 with step 0.0033 (0.2500) converged in 1 iterations. 0.000000 Δα.
118. -0.00 with step 0.0022 (0.2500) converged in 1 iterations. 3.803975 Δα.
119. -0.00 with step 0.0012 (0.1875) converged in 1 iterations. 0.000000 Δα.
120. -0.00 with step 0.0013 (0.2500) converged in 1 iterations. 3.813957 Δα.
121. -0.00 with step 0.0007 (0.1875) converged in 1 iterations. 0.000000 Δα.
122. 0.00 with step 0.0005 (0.2500) converged in 1 iterations. 0.000000 Δα.
123. 0.00 with step 0.0003 (0.2500) converged in 1 iterations. 0.000000 Δα.
124. 0.00 with step 0.0006 (0.2500) converged in 1 iterations. 0.000000 Δα.
125. 0.00 with step 0.0009 (0.2500) converged in 1 iterations. 0.000000 Δα.
126. 0.00 with step 0.0012 (0.2500) converged in 1 iterations. 0.000000 Δα.
127. 0.00 with step 0.0015 (0.2500) converged in 1 iterations. 0.000000 Δα.
128. 0.01 with step 0.0018 (0.2500) converged in 1 iterations. 0.000000 Δα.
129. 0.01 with step 0.0022 (0.2500) converged in 1 iterations. 0.000000 Δα.
130. 0.01 with step 0.0025 (0.2500) converged in 1 iterations. 0.000000 Δα.
131. 0.01 with step 0.0029 (0.2500) converged in 1 iterations. 0.000000 Δα.
132. 0.02 with step 0.0032 (0.2500) converged in 1 iterations. 0.000000 Δα.
133. 0.02 with step 0.0037 (0.2500) converged in 1 iterations. 1.086655 Δα.
134. 0.02 with step 0.0037 (0.2118) converged in 1 iterations. 0.000000 Δα.
135. 0.03 with step 0.0052 (0.2500) converged in 1 iterations. 0.633224 Δα.
136. 0.04 with step 0.0060 (0.2387) converged in 1 iterations. 0.457420 Δα.
137. 0.04 with step 0.0074 (0.2470) converged in 1 iterations. 0.088704 Δα.
138. 0.05 with step 0.0090 (0.2500) converged in 1 iterations. 0.232131 Δα.
139. 0.06 with step 0.0109 (0.2500) converged in 1 iterations. 0.588406 Δα.
140. 0.08 with step 0.0127 (0.2429) converged in 1 iterations. 0.466126 Δα.
141. 0.09 with step 0.0158 (0.2500) converged in 1 iterations. 0.153124 Δα.
142. 0.11 with step 0.0190 (0.2500) converged in 1 iterations. 0.132327 Δα.
143. 0.13 with step 0.0229 (0.2500) converged in 1 iterations. 0.330820 Δα.
144. 0.16 with step 0.0277 (0.2500) converged in 1 iterations. 0.127950 Δα.
145. 0.19 with step 0.0334 (0.2500) converged in 1 iterations. 0.101496 Δα.
146. 0.23 with step 0.0403 (0.2500) converged in 1 iterations. 0.223694 Δα.
147. 0.28 with step 0.0487 (0.2500) converged in 3 iterations. 3.821266 Δα.
148. 0.29 with step 0.0076 (0.1347) converged in 1 iterations. 0.011763 Δα.
149. 0.30 with step 0.0117 (0.2020) converged in 2 iterations. 0.013987 Δα.
150. 0.32 with step 0.0151 (0.2500) converged in 2 iterations. 0.041034 Δα.
151. 0.33 with step 0.0160 (0.2500) converged in 2 iterations. 0.060826 Δα.
152. 0.35 with step 0.0174 (0.2500) converged in 2 iterations. 0.077925 Δα.
153. 0.37 with step 0.0191 (0.2500) converged in 2 iterations. 0.110655 Δα.
154. 0.40 with step 0.0221 (0.2500) converged in 2 iterations. 0.133729 Δα.
155. 0.42 with step 0.0268 (0.2500) converged in 2 iterations. 0.183922 Δα.
156. 0.47 with step 0.0362 (0.2500) converged in 2 iterations. 0.051297 Δα.
157. 0.54 with step 0.0556 (0.2500) converged in 3 iterations. 0.129569 Δα.
158. 0.65 with step 0.0998 (0.2500) converged in 4 iterations. 0.275533 Δα.
159. 0.75 with step 0.1130 (0.2348) converged in 3 iterations. 0.315666 Δα.
160. 0.85 with step 0.0987 (0.2190) converged in 2 iterations. 0.331804 Δα.
161. 0.95 with step 0.0978 (0.2150) converged in 2 iterations. 0.098330 Δα.
162. 1.07 with step 0.1163 (0.2500) converged in 2 iterations. 0.137070 Δα.
163. 1.21 with step 0.1366 (0.2500) converged in 2 iterations. 0.190715 Δα.
164. 1.40 with step 0.1693 (0.2500) converged in 3 iterations. 0.316485 Δα.
165. 1.63 with step 0.2099 (0.2329) converged in 3 iterations. 0.435140 Δα.
166. 1.88 with step 0.2346 (0.1950) converged in 3 iterations. 0.589255 Δα.
167. 2.11 with step 0.2252 (0.1482) converged in 3 iterations. 0.745271 Δα.
168. 2.30 with step 0.1887 (0.1049) converged in 2 iterations. 0.901164 Δα.
169. 2.46 with step 0.1568 (0.0771) converged in 2 iterations. 1.037338 Δα.
170. 2.58 with step 0.1220 (0.0546) converged in 2 iterations. 1.156758 Δα.
171. 2.67 with step 0.0904 (0.0377) converged in 2 iterations. 1.222713 Δα.
172. 2.73 with step 0.0648 (0.0257) converged in 2 iterations. 1.337874 Δα.
173. 2.78 with step 0.0449 (0.0171) converged in 1 iterations. 1.398620 Δα.
174. 2.82 with step 0.0372 (0.0138) converged in 1 iterations. 1.444077 Δα.
175. 2.85 with step 0.0304 (0.0110) converged in 1 iterations. 1.477752 Δα.
176. 2.87 with step 0.0280 (0.0100) converged in 1 iterations. 1.502467 Δα.
177. 2.90 with step 0.0283 (0.0100) converged in 1 iterations. 1.521581 Δα.
178. 2.93 with step 0.0287 (0.0100) converged in 1 iterations. 1.538782 Δα.
179. 2.96 with step 0.0290 (0.0100) converged in 1 iterations. 1.555091 Δα.
180. 2.99 with step 0.0293 (0.0100) converged in 1 iterations. 1.571018 Δα.
181. 3.02 with step 0.0296 (0.0100) converged in 1 iterations. 1.586819 Δα.Plotting
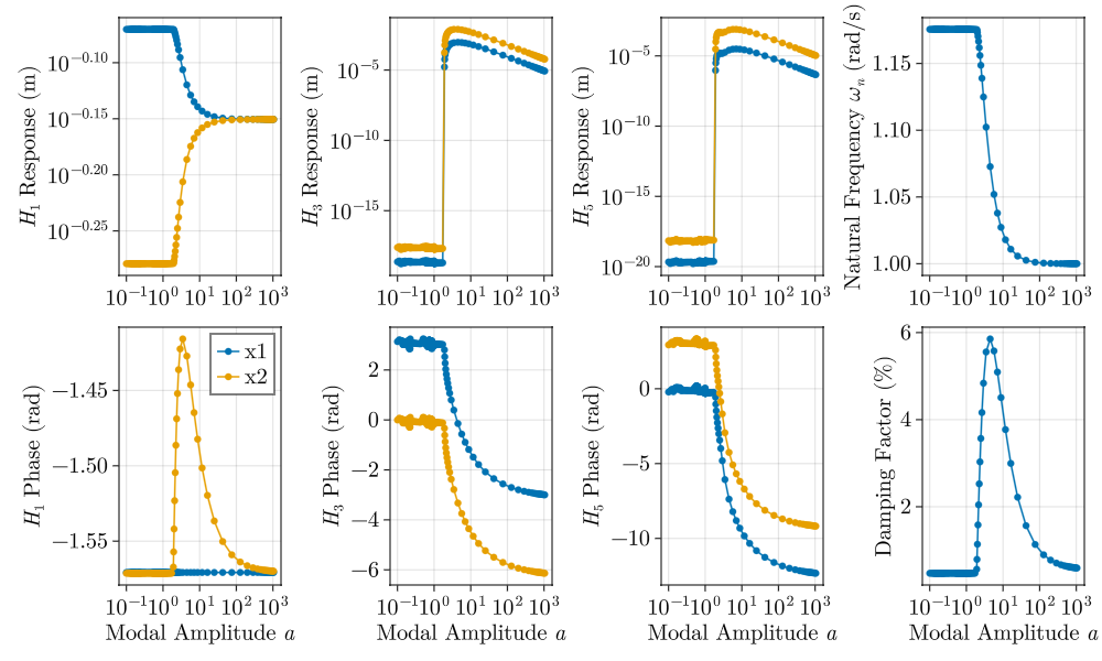
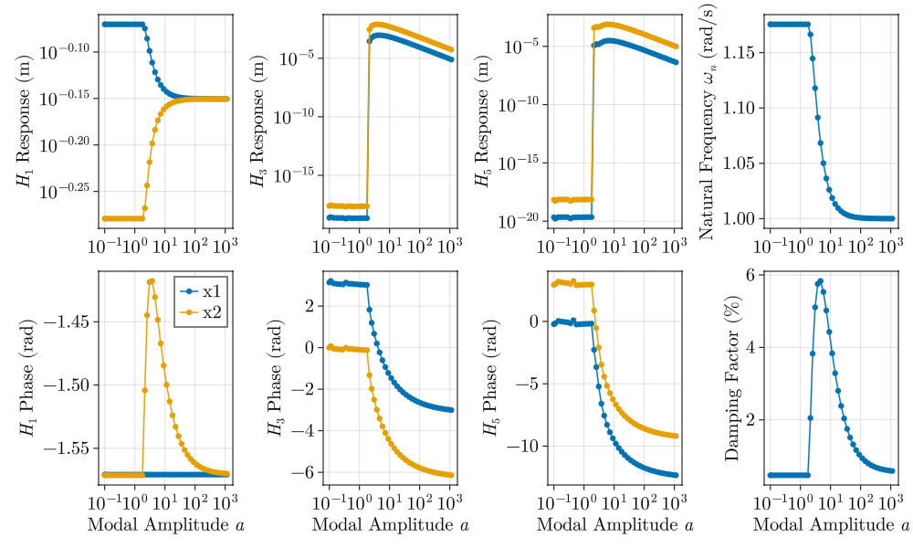
Finally we visualize the results in terms of harmonics as well as in terms of natural frequency and (equivalent) damping factor characteristic curves.
his = [1, 3, 5];
set_theme!(theme_latexfonts());
fsz = 20;
fig = Figure(fontsize=fsz, size=(1000, 600));
axs = [];
for i in eachindex(his[his.<=maximum(h)])
ax = Axis(fig[1, i],
ylabel=L"$H_%$(his[i])$ Response (m)", xscale=log10, yscale=log10);
scatterlines!(ax, As, abs.(uh[his[i].+1, :, 1]), label="x1");
scatterlines!(ax, As, abs.(uh[his[i].+1, :, 2]), label="x2");
push!(axs, ax)
ax = Axis(fig[2, i], xlabel=L"Modal Amplitude $a$",
ylabel=L"$H_%$(his[i])$ Phase (rad)", xscale=log10);
scatterlines!(ax, As, unwrap(angle.(uh[his[i].+1, :, 1])), label="x1");
scatterlines!(ax, As, unwrap(angle.(uh[his[i].+1, :, 2])), label="x2");
push!(axs, ax)
if i==1
axislegend(ax)
end
end
ax = Axis(fig[1, length(his)+1],
ylabel=L"Natural Frequency $\omega_n$ (rad/s)", xscale=log10);
scatterlines!(ax, As, Oms);
push!(axs, ax)
ax = Axis(fig[2, length(his)+1], xlabel=L"Modal Amplitude $a$",
ylabel="Damping Factor (%)", xscale=log10);
scatterlines!(ax, As, 100Zts);
push!(axs, ax)
linkxaxes!(axs...)
fig
This page was generated using Literate.jl.